Magna Concursos
402431 Ano: 2011
Disciplina: Estatística
Banca: CESPE / CEBRASPE
Orgão: EBC

Julgue os itens subsequentes, relativos à família exponencial de distribuições.

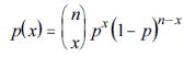
A distribuição binomial cuja função de probabilidade é expressa pela função Enunciado 402431-1 família exponencial.
 

Provas

Questão presente nas seguintes provas

Analista da EBC - Estatística

120 Questões