Magna Concursos
555253 Ano: 2015
Disciplina: Estatística
Banca: CESPE / CEBRASPE
Orgão: FUB
Provas:
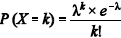
A quantidade, X, de trancamentos de alunos por semestre em uma universidade segue uma distribuição Poisson com parâmetro λ, que é expressa por Enunciado 555253-1 para k = 0, 1, 2, þ.
Considerando que o estimador de máxima verossimilhança para λ seja denotadoEnunciado 555253-2 e que a universidade perca receita proporcionalmente ao ln(X), julgue o item subsecutivo.

Segue abaixo:

O estimador de máxima verossimilhança para λ, em uma amostra de tamanho n, é Enunciado 555253-3 em que

Enunciado 555253-4 .

 

Provas

Questão presente nas seguintes provas

Estatístico

120 Questões