Magna Concursos
2065453 Ano: 2022
Disciplina: Estatística
Banca: CESPE / CEBRASPE
Orgão: Petrobrás

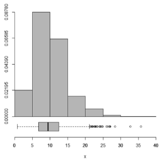
A figura seguinte mostra o histograma como uma estimativa da função de densidade de uma distribuição X, juntamente com o diagrama boxplot correspondente a esse conjunto de dados.

Enunciado 2065453-1

tamanho da amostra

1.000

média amostral

10

desvio padrão amostral

4,7

Considerando a figura e as informações apresentadas no quadro, julgue o item que se segue.

O percentual das observações tais que !$ [0,6 \le x \le 19,4] !$ é igual ou inferior a 70%.

 

Provas

Questão presente nas seguintes provas

Profissional de Ciência de Dados

120 Questões