Magna Concursos
2640119 Ano: 2013
Disciplina: Estatística
Banca: CESPE / CEBRASPE
Orgão: TRT-17

Considerando o conceito de distribuição de probabilidade, julgue o item.

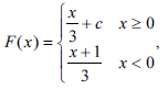
Em uma variável aleatória x !$ \epsilon !$ [-1,1], na qual a função de probabilidade acumulada seja Enunciado 3273652-1 a probabilidade de X = 0 é superior a 1/4.

 

Provas

Questão presente nas seguintes provas

Analista Judiciário - Estatística

120 Questões