Magna Concursos
848941 Ano: 2014
Disciplina: Estatística
Banca: CESGRANRIO
Orgão: EPE
Ao estudar a relação entre duas variáveis X e Y, um pesquisador percebe uma relação não linear entre elas e propõe o seguinte modelo:
enunciado 848941-1
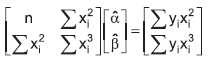
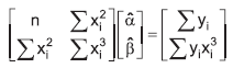
Os estimadores de mínimos quadrados para os parâmetros α e β, respectivamente enunciado 848941-2 e enunciado 848941-3, são soluções da equação matricial
 

Provas

Questão presente nas seguintes provas

Analista da EPE - Economia de Energia

60 Questões