Magna Concursos
324947 Ano: 2005
Disciplina: Estatística
Banca: NCE-UFRJ
Orgão: BNDES
Provas:

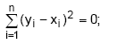
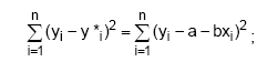
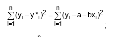
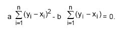
Dado um conjunto de pontos (x1 , y1), (x2 , y2),...,(xn , yn), observações de duas variáveis aleatórias contínuas X e Y, a regressão linear de Y em X é obtida ajustando-se uma reta y* = a* + b*x ao conjunto de pontos. Se y*i é o valor obtido na reta ajustada correspondente à observação xi, i = 1, 2,..,n, a reta de regressão será aquela tal que os coeficientes a* e b* são calculados de modo a:

 

Provas

Questão presente nas seguintes provas

Economista

80 Questões