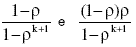
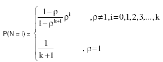
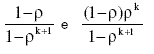
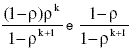
Seja um sistema em que se tem o Processo de Fila tipo M/M/1 no qual o número total de serviços requeridos é limitado por k
N* devido à limitação do tamanho da fila. Considere que o sistema obedece a seguinte lei:

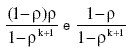
Seja um sistema em que se tem o Processo de Fila tipo M/M/1 no qual o número total de serviços requeridos é limitado por k
N* devido à limitação do tamanho da fila. Considere que o sistema obedece a seguinte lei:
