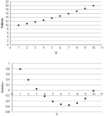
Considerando o seguinte conjunto de dados amostrais dos diagramas de dispersão utilizado para análise dos resíduos.

Com base nos dados acima, analise as afirmativas abaixo:
1. As hipóteses do modelo de regressão foram satisfeitas.
2. O gráfico dos resíduos se apresenta como um conjunto de pontos aleatórios.
3. Há evidência de que o modelo subjacente pode não ser linear.
Assinale a alternativa que indica todas as afirmativas corretas.