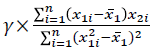
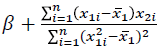
Suponha que um pesquisador postule um modelo do tipo Yi = !$ \alpha !$ + !$ \beta !$!$ x !$i + !$ \epsilon !$i = 1, 2, …, n quando, na verdade, uma variável adicional X2 também contribui linearmente para a resposta. O modelo real é dado por Yi = !$ \alpha !$ + !$ \beta !$!$ x !$1i + !$ \gamma !$!$ x !$2i + !$ \epsilon !$i, i = 1, 2, …, n.
O valor esperado do estimador a seguir é
