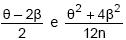
Sejam
, ...Yn, duas amostras aleatórias independentes, extraídas, cada uma delas com reposição, de duas distribuições uniformes contínuas com parâmetros [
] e [
], respectivamente. Nestas condições, a média e a variância da variável aleatória
, onde
são as respectivas médias amostrais das duas amostras citadas, são dadas respectivamente por:
, ...Yn, duas amostras aleatórias independentes, extraídas, cada uma delas com reposição, de duas distribuições uniformes contínuas com parâmetros [
] e [
], respectivamente. Nestas condições, a média e a variância da variável aleatória
, onde
são as respectivas médias amostrais das duas amostras citadas, são dadas respectivamente por: