Magna Concursos
1240384 Ano: 2012
Disciplina: Engenharia de Automação
Banca: CESPE / CEBRASPE
Orgão: PEFOCE

enunciado 1240384-1

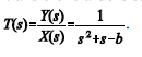
A função de transferência do sistema de tempo contínuo é expressa por enunciado 1240384-2

 

Provas

Questão presente nas seguintes provas

Perito Criminal - Engenharia Elétrica

120 Questões