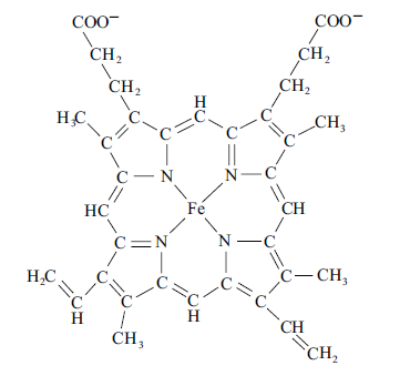
A estrutura a seguir representa um pigmento da classe das porfirinas. Esse pigmento é encontrado em alimentos, porém, na classe das porfirinas, há outro pigmento que pode ser encontrado no organismo humano. O pigmento a seguir representa:

Provas
Questão presente nas seguintes provas