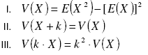
Considere as seguintes afirmações a seguir, onde V é variância, E é valor esperado, k é uma constante e X uma variável aleatória:

Considere as seguintes afirmações a seguir, onde V é variância, E é valor esperado, k é uma constante e X uma variável aleatória:
