Magna Concursos
2096963 Ano: 2021
Disciplina: Estatística
Banca: IBFC
Orgão: Pref. São Gonçalo Amarante-RN
Provas:
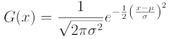
A densidade de probabilidade associada à distribuição normal (gaussiana) é dada por:

Enunciado 2096963-1

Assinale a alternativa que apresenta o par ordenado (x, y) do máximo dessa distribuição para a esperança matemática nula e o desvio padrão igual (2/π)1/2.
 

Provas

Questão presente nas seguintes provas

Estatístico

40 Questões