Magna Concursos
3001253 Ano: 2023
Disciplina: Engenharia de Automação
Banca: CESGRANRIO
Orgão: Transpetro
Provas:

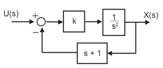
Considere o diagrama de blocos de um sistema de controle.

Enunciado 3400783-1

O fator de amortecimento da malha fechada desse sistema é

 

Provas

Questão presente nas seguintes provas

Engenheiro de Automação

70 Questões