Pretende-se usar um modelo de regressão linear
para ajustar n pares de valores observados
. Supõe-se que os erros
tenham média 0, sejam normalmente distribuídos, todos com mesma variância, e sejam não correlacionados. Se a e b são as estimativas de mínimos quadrados de
e
, respectivamente, avalie as afirmativas a seguir:
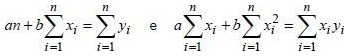
I. As estimativas de mínimos quadrados de ?? e ?? são os valores de a e b que resolvem as equações normais
II. a e b são estimadores não viesados de
e de
, respectivamente.
III. O coeficiente de determinação, R², mede a porcentagem da variância total dos valores y's que é explicada pela regressão e, desse modo, quanto maior o valor do coeficiente de determinação, melhor é o ajuste do modelo.
Assinale:
I. As estimativas de mínimos quadrados de ?? e ?? são os valores de a e b que resolvem as equações normais

II. a e b são estimadores não viesados de
III. O coeficiente de determinação, R², mede a porcentagem da variância total dos valores y's que é explicada pela regressão e, desse modo, quanto maior o valor do coeficiente de determinação, melhor é o ajuste do modelo.
Assinale: