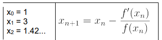
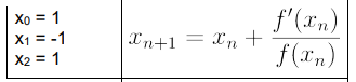
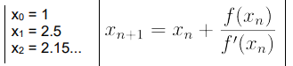
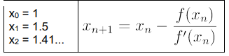
O método de Newton é um algoritmo muito
eficiente para obtenção numérica de raízes de
equações f(x) =0, utilizando-se a derivada f'(x)
localmente calculada sobre a sequência de
valores de x.

Fonte: Computer-Aided Design and Analysis of a Three-Pole Radial Magnetic Bearing - Scientific Figure on ResearchGate.https://www.researchgate.net/figure/Thegeometrical-construction-of-Newton-Raphsonmethod_fig5_266091369
Assinale a alternativa que apresenta a equação que permite construir a sequência de valores {xn} que caracteriza o método de Newton e o valor dos três primeiros termos desta sequência para as raízes da função f(x) = x2 - 2

Fonte: Computer-Aided Design and Analysis of a Three-Pole Radial Magnetic Bearing - Scientific Figure on ResearchGate.https://www.researchgate.net/figure/Thegeometrical-construction-of-Newton-Raphsonmethod_fig5_266091369
Assinale a alternativa que apresenta a equação que permite construir a sequência de valores {xn} que caracteriza o método de Newton e o valor dos três primeiros termos desta sequência para as raízes da função f(x) = x2 - 2