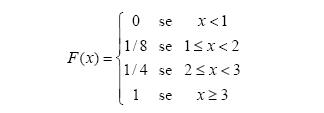
A variável aleatória X tem função de distribuição de probabilidades
A probabilidade de que X=3 é 0,75.
A probabilidade de que X=2 é 1/4.
A aleatória X é uniforme discreta.
A variável aleatória X tem valor esperado unitário.
A variável aleatória X é uniforme contínua.
Olá, para continuar, precisamos criar uma conta! É rápido e grátis.