Magna Concursos
1536082 Ano: 2019
Disciplina: Física
Banca: IME
Orgão: Exército
enunciado 1536082-1
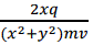
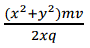
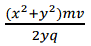
Uma partícula de massa m e carga elétrica +q percorre a trajetória tracejada na figura em velocidade constante v. No instante em que a partícula alcança o ponto A, surge um campo magnético uniforme com intensidade constante B, emergindo do plano do papel. A intensidade do campo magnético B para que a partícula alcance o ponto D na continuação de sua trajetória é:
 

Provas

Questão presente nas seguintes provas