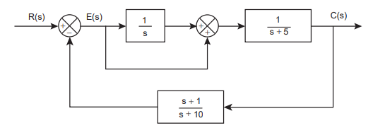
No sistema de controle em malha fechada descrito no diagrama de blocos da Figura a seguir, o sinal de erro atuante E(s) está definido como a diferença entre o sinal de referência R(s) e o sinal de realimentação negativa.

Considerando-se esse diagrama de blocos, a função de transferência do sinal de referência R(s) para o sinal de erro atuante E(s) é