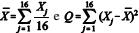
Uma amostra aleatória simples X1, X2, ..., X16 será retirada de uma população normal com média µ e desvio-padrão σ, ambos desconhecidos. Para estimá-los, são propostas as estatísticas
. Com base nessas informações, julgue o item seguinte.
Para a estimação da média populacional µ, a média amostral
é um estimador não tendencioso de mínima variância. Qualquer outro estimador não tendencioso para a estimação de µ, como, por exemplo, a mediana amostral, terá um desvio-padrão uniformemente maior que 0,25σ.
. Com base nessas informações, julgue o item seguinte.Para a estimação da média populacional µ, a média amostral
é um estimador não tendencioso de mínima variância. Qualquer outro estimador não tendencioso para a estimação de µ, como, por exemplo, a mediana amostral, terá um desvio-padrão uniformemente maior que 0,25σ.