
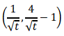
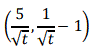
Dados:
• constante de Coulomb: 
• cargas elétricas: 
• posições das partículas:


Considerando todas as grandezas dadas no Sistema Internacional de Unidades, o módulo da componente y do impulso da força que uma partícula exerce sobre a outra no intervalo de tempo de 1,0 a 6,0 é:
Provas
Questão presente nas seguintes provas