Magna Concursos
Questões
Planos
Entrar
Entrar
Criar Conta
Respondida
971842
Ano:
2004
Disciplina:
Administração Geral
Banca:
DIRENS Aeronáutica
Orgão:
EEAr
Provas:
EAGS - Administração
Provas
×
PODC: Processo Organizacional
Processo Administrativo: Organização
Introdução ao Processo de Organização
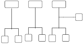
Analise o organograma de uma determinada Unidade Militar do Comando da Aeronáutica e assinale a alternativa incorreta.
A
Existe setor se relacionando funcionalmente na Unidade.
B
Existem canais de comunicação .
C
Há pelo menos um setor de assessoria.
D
Existe autoridade de linha.
Resolver
Comentários
0
×
Cadernos
×
Flashcards
×
Estatísticas
×
Reportar um erro
×
Provas
Questão presente nas seguintes provas
EAGS - Administração
100 Questões
Resolver Prova
Publicar
Responder
Qual o problema da questão?
Selecione uma opção
Questão Desatualizada
Questão Repetida
Gabarito Errado
Outros Motivos
Mensagem
Enviar
Acessar
Criar Conta
Acesse sua Conta
Google
Facebook
Esqueci minha senha
Acessar
Ainda não tem conta?
Crie uma
!
Crie uma Conta
Criar Conta
Olá, para continuar, precisamos criar uma conta!
É
rápido
e
grátis
.
Google
Facebook
Concordo com os
Termos de Uso
Criar
Já tem uma conta?
Acesse aqui