ATENÇÃO: O enunciado a seguir refere-se às duas próximas questões
Uma partícula realiza um movimento circular uniforme (MCU) no plano \( x \)\( y \). Considere que a posição da partícula pode ser descrita por \( x \) = 3 cos(3\( t \)) e \( y \) = −3 cos(3\( t \) − \( \pi \)/2), em que \( t \) é o tempo em segundos.
A Zona de Fresnel define uma região elipsoidal dentro da qual a maior parte da energia do sinal é contida. Para garantir a propagação do sinal em condições de espaço livre, essa região deve estar, preferencialmente, livre de obstáculos. Objetos na Zona de Fresnel, como árvores e prédios, podem causar reflexão, difração, absorção ou espalhamento do sinal, resultando em degradação ou perda completa. Para maximizar o desempenho de um link wireless, é necessário que pelo menos 60% da primeira Zona de Fresnel esteja desobstruído.
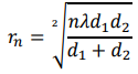
Foi definido que ambas as antenas seriam instaladas à mesma altura, a uma distância de 100 metros, e que o sistema operaria com um sinal de comprimento de onda é de 4m. No meio do percurso entre as duas antenas, há um conjunto de árvores com 15 metros de altura. O raio da n-ésima Zona de Fresnel (em metros) é dado pela fórmula:

em que:
n = n-ésima Zona de Fresnel.
λ = comprimento de onda do transmissor.
d1 = distância do ponto considerado até o transmissor.
d2 = distância do ponto considerado até o receptor.
A menor altura que as antenas devem ter para garantir que ao menos 60% do raio da primeira Zona de Fresnel estejam livres de qualquer obstrução é de: