A respeito das medidas de assimetria e curtose, julgue os próximos itens.
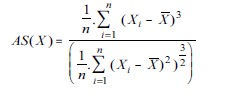
A assimetria de uma distribuição correspondente a um conjunto de dados X com n elementos e média aritmetica
, pode ser corretamente calculada a partir da equação abaixo, tal que o numerador dessa expressão somente será zero se a distribuição for simétrica.
