Magna Concursos
2799564 Ano: 2023
Disciplina: Eletroeletrônica
Banca: FURB
Orgão: Pref. Jaraguá do Sul-SC
Provas:

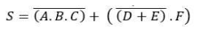
Analise o circuito lógico a seguir:

Enunciado 3541371-1

Assinale a alternativa que representa a sua respectiva expressão boleana:

 

Provas

Questão presente nas seguintes provas

Técnico Eletroeletrônico

40 Questões