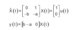
Um sistema de 2a ordem, linear e invariante no tempo, com entrada u(t) e saída y(t), é representado pelo modelo em espaço de estado, com as seguintes equações:

Sabendo-se que os polos desse sistema estão localizados nas seguintes posições do plano
e
, os valores de a e b, respectivamente, são