- Distribuições de ProbabilidadeDistribuições ContínuasStudent
- Estatística InferencialTeste de HipótesesP-valor
Para testar H0: µ
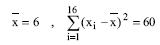
5 versus H1: µ > 5, em que µ representa a média de uma distribuição normal com parâmetros desconhecidos, foi usada uma amostra aleatória simples de tamanho 16, que forneceu as seguintes estatísticas:
5 versus H1: µ > 5, em que µ representa a média de uma distribuição normal com parâmetros desconhecidos, foi usada uma amostra aleatória simples de tamanho 16, que forneceu as seguintes estatísticas:
