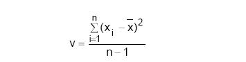
A variância de um amostra x1, x2,..., xn de n números pode ser definida como

Nesse caso, a variância da amostra: 1, 3, 4, 6, 1 é igual a:
A variância de um amostra x1, x2,..., xn de n números pode ser definida como

Nesse caso, a variância da amostra: 1, 3, 4, 6, 1 é igual a: