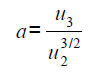
O coeficiente de assimetria amostral de uma distribuição é dada em função dos momentos amostrais, sendo

onde uk é o k-ésimo momento da variável k. Considere uma amostra com os seguintes valores x=(10,11,12,4,11). O coeficiente de assimetria é dado por:
Provas
Questão presente nas seguintes provas