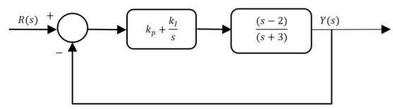
Considere o sistema de malha fechada com um controlador do tipo PI, conforme apresentado na figura abaixo.

As faixas de valores para os ganhos kp e kI para as quais o sistema de malha fechada é estável são:
Provas
Questão presente nas seguintes provas