Magna Concursos
3869043 Ano: 2024
Disciplina: Estatística
Banca: UFRN
Orgão: UFERSA
Provas:
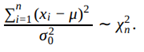
Um estatístico foi contratado para conduzir um teste de hipóteses acerca de uma certa máquina de encher garrafas de mel. Sabe-se que o volume de enchimento dessa máquina é normalmente distribuído. Se a variância do volume de enchimento (σ2) exceder 0,1 ml2 Enunciado 4850619-1 uma porcentagem alta de garrafas será descartada. Uma amostra aleatória de 20 garrafas foi selecionada pelo estatístico e foi obtida uma média amostral de 494 ml e uma variância amostral de 0,15 ml2. Para conduzir o teste de hipótese, a estatística de teste utilizada por esse estatístico é:
 

Provas

Questão presente nas seguintes provas

Estatístico

50 Questões