
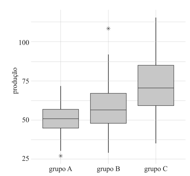
Tendo como referência a figura precedente, em que diagramas esquemáticos (box-plots) comparam as distribuições das produtividades de três grupos de funcionários de certa empresa, julgue os próximos itens.
Em comparação ao grupo B, a distribuição da produtividade do grupo C apresenta a maior mediana, indicando que pelo menos 50% de seus valores estão acima da mediana da produtividade observada no grupo B.