Um tribunal deseja prever o tempo de tramitação (em dias) de processos de uma determinada classe, desde a distribuição até a sentença em 1ª instância. Um cientista de dados ajustou um modelo de regressão usando variáveis como tipo de ação, vara, quantidade de partes e histórico de movimentações, e avaliou o modelo no conjunto de teste.
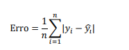
Como métrica principal, ele calculou a soma das diferenças absolutas dividida pelo número de observações, ou:

obtendo Erro = 18, que foi interpretado como: “em média, o modelo erra em 18 dias o tempo de tramitação dos processos”. A métrica utilizada pelo cientista de dados é:
Provas
Questão presente nas seguintes provas
Analista Judiciário - TI/Arquitetura de Dados
70 Questões
Analista Judiciário - TI/Ciência de Dados
70 Questões
Analista Judiciário - TI/Inteligência Artificial
70 Questões