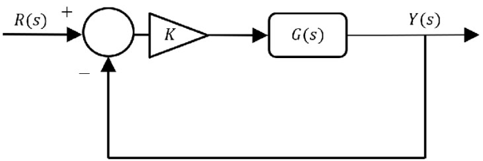
Considere o sistema de controle apresentado na figura abaixo.

O diagrama de Bode do sistema com função de transferência G(s) é exibido na figura a seguir.

Considerando-se que o ganho K do controlador proporcional foi projetado para que o erro em regime permanente para uma entrada R(s) em degrau unitário seja menor que 10%, assinale a alternativa cujos valores das margens de fase e de ganho de KG(s) mais se aproximam dos valores corretos.
Provas
Questão presente nas seguintes provas