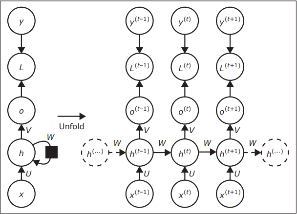
A figura mostra uma arquitetura de Rede Neural ________________, em que U, W e V são ________________.

Fonte: GOODFELLOW et al. Deep Leaning. MIT press, 2016 (p. 378). (Adaptado)
Assinale a alternativa que completa corretamente as lacunas.
A figura mostra uma arquitetura de Rede Neural ________________, em que U, W e V são ________________.

Fonte: GOODFELLOW et al. Deep Leaning. MIT press, 2016 (p. 378). (Adaptado)
Assinale a alternativa que completa corretamente as lacunas.