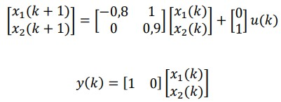
Considere o sistema discreto no tempo descrito por:

Sobre esse sistema, é correto afirmar que é:
Provas
Questão presente nas seguintes provas
Considere o sistema discreto no tempo descrito por:

Sobre esse sistema, é correto afirmar que é: