Magna Concursos
Questões
Planos
Entrar
Entrar
Criar Conta
Respondida
3869045
Ano:
2024
Disciplina:
Estatística
Banca:
UFRN
Orgão:
UFERSA
Provas:
Estatístico
Provas
×
Estatística Inferencial
Regressão
Para responder à questão, considere o enunciado a seguir.
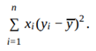
Foi ajustado, a um conjunto de dados, o modelo de regressão linear
em que, para todo
as variáveis são aleatórias independentes.
O estimador de mínimos quadrados de β é:
A
B
C
D
Resolver
Comentários
0
×
Cadernos
×
Flashcards
×
Estatísticas
×
Reportar um erro
×
Provas
Questão presente nas seguintes provas
Estatístico
50 Questões
Resolver Prova
Publicar
Responder
Qual o problema da questão?
Selecione uma opção
Questão Desatualizada
Questão Repetida
Gabarito Errado
Outros Motivos
Mensagem
Enviar
Acessar
Criar Conta
Acesse sua Conta
Google
Facebook
Esqueci minha senha
Acessar
Ainda não tem conta?
Crie uma
!
Crie uma Conta
Criar Conta
Olá, para continuar, precisamos criar uma conta!
É
rápido
e
grátis
.
Google
Facebook
Concordo com os
Termos de Uso
Criar
Já tem uma conta?
Acesse aqui