Magna Concursos

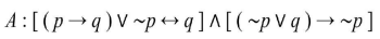
Sejam p e q duas proposições verdadeiras. Qual o valor lógico da proposição a seguir?

Enunciado 4314793-1

 

Provas

Questão presente nas seguintes provas

Assistente Social

40 Questões

Auditor Municipal de Tributos

40 Questões

Educador Físico

40 Questões

Enfermeiro

40 Questões

Farmacêutico

40 Questões

Fisioterapeuta

40 Questões

Fonoaudiólogo Educacional

40 Questões

Médico - ESF

40 Questões

Médico Veterinário

40 Questões

Nutricionista

40 Questões

Odontólogo

40 Questões

Psicólogo Clínico

40 Questões