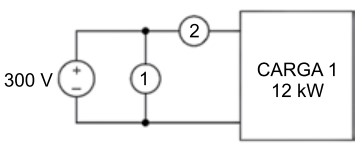
Considere o circuito mostrado na figura a seguir:

Os instrumentos 1 e 2 representados na figura e suas respectivas indicações são:
Considere o circuito mostrado na figura a seguir:

Os instrumentos 1 e 2 representados na figura e suas respectivas indicações são: