3770399
Ano: 2024
Disciplina: Administração Geral
Banca: VUNESP
Orgão: Pref. São Bernardo do Campo-SP
Disciplina: Administração Geral
Banca: VUNESP
Orgão: Pref. São Bernardo do Campo-SP
Provas:
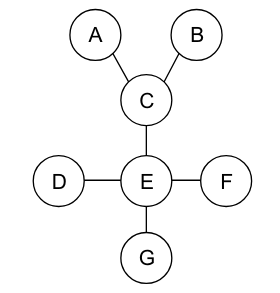
- PODC: Processo OrganizacionalProcesso Administrativo: OrganizaçãoEstrutura OrganizacionalOrganograma
No organograma circular apresentado a seguir, é dado que E possui o maior nível hierárquico.

Com base nessas informações, é correto afirmar que