
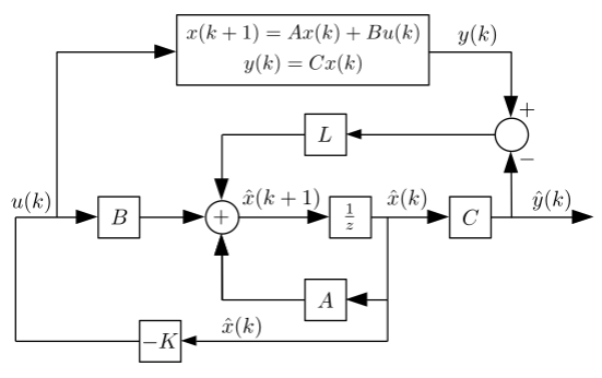
Em relação ao diagrama, assinale V (verdadeiro) ou F (falso) nas alternativas seguintes.
( ) A dinâmica de malha fechada pode ser descrita por \(x(k +1) = Ax (k) - BK \hat{x}(k). \)
( ) O estimador de estado é descrito por \(\hat{x}(k) = (A - LC)\hat{x}(k - 1) + Bu (k - 1) \).
( ) Os autovalores da matriz A devem estar contidos no círculo unitário do plano z.
A sequência correta é