Considere o seguinte sistema SISO representado na forma de espaço de estados:

A representação deste mesmo sistema em função de transferência é
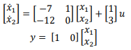
Considere o seguinte sistema SISO representado na forma de espaço de estados:

A representação deste mesmo sistema em função de transferência é