Foram encontradas 50 questões.
- Sistemas OperacionaisWindowsFuncionalidades do WindowsGerenciamento de Arquivos e PastasWindows Explorer
C:\Downloads
C:\Downloads\Aulas
C:\Downloads\Projetos
C:\Downloads\Projetos\Casa Nova
Com relação à estrutura das pastas e subpastas apresentada, e considerando que todas as pastas estão configuradas para permitir a escrita e a leitura para todos os usuários, bem como guardar arquivos, assinale a alternativa correta.
Provas
Provas
Provas
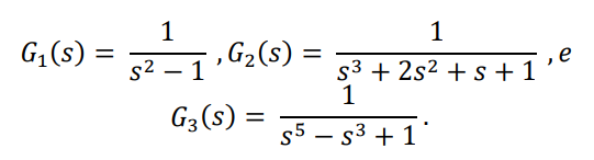
As funções de transferência de três sistemas em malha-fechada são dadas, respectivamente, por

Com base no exposto, é correto afirmar que apenas
Provas

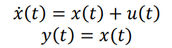
Considere o sistema linear apresentado. Sendo x a variável de estado, y a variável de saída, e u a entrada de controle, todas escalares e de valores no conjunto dos números reais, assinale a alternativa correta.
Provas

Em relação à IEC 60.617, o símbolo apresentado na figura corresponde a comando de
Provas

Considere que, na figura apresentada, os amplificadores operacionais são ideais. Com base no exposto, calcule a tensão de saída Vo(s).
Provas

De acordo com a figura apresentada, assinale a alternativa correta para a saída F do circuito digital.
Provas
Provas
Provas
Caderno Container