Foram encontradas 568 questões.
A empresa Plantio de Árvores do Norte S/A, contratou a firma de auditoria Aspectos & Consultoria, para examinar as demonstrações contábeis do exercício de 2014. O objetivo da auditoria é aumentar o grau de confiança nas demonstrações contábeis por parte dos usuários. Isso é alcançado mediante a
Provas
Questão presente nas seguintes provas
As conclusões dos trabalhos da perícia contábil que serão levadas ao laudo pericial contábil ou parecer pericial contábil, são fundamentadas, entre outros, pelos seguintes procedimentos especificados na NBC TP 01:
I. A circularização é a técnica utilizada na obtenção de declaração formal e independente, de pessoas não ligadas entidade, seja por interesses comerciais, afetivos, etc.
II. O exame é a análise de livros, registros das transações e documentos.
III. A observação é o acompanhamento de processo ou procedimento, quando de sua execução.
IV. O arbitramento é a determinação de valores ou a solução de controvérsia por critério técnico-científico.
V. A avaliação é o ato de estabelecer o valor de coisas, bens, direitos, obrigações, despesas e receitas.
Está correto o que se afirma APENAS em
I. A circularização é a técnica utilizada na obtenção de declaração formal e independente, de pessoas não ligadas entidade, seja por interesses comerciais, afetivos, etc.
II. O exame é a análise de livros, registros das transações e documentos.
III. A observação é o acompanhamento de processo ou procedimento, quando de sua execução.
IV. O arbitramento é a determinação de valores ou a solução de controvérsia por critério técnico-científico.
V. A avaliação é o ato de estabelecer o valor de coisas, bens, direitos, obrigações, despesas e receitas.
Está correto o que se afirma APENAS em
Provas
Questão presente nas seguintes provas
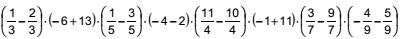
O resultado da expressão numérica .

é igual a

é igual a
Provas
Questão presente nas seguintes provas
O resultado da expressão numérica

é igual a

é igual a
Provas
Questão presente nas seguintes provas
Para responder à questão, considere o modelo linear Yi = α + βXi + ε i sendo i a i-ésima observação, Yi a variável dependente na observação i, X i a variável explicativa na observação i e εi o erro aleatório com as respectivas hipóteses para a regressão linear simples. Os parâmetros α e β são desconhecidos e suas estimativas (a e b, respectivamente) foram obtidas pelo método dos mínimos quadrados e com base em 20 pares de observações ( Xi,Yi), i = 1, 2, ... , 20. Sabe-se que os pontos (10 ; 9,8) e (40 ; 33,8) pertencem à reta de equação Y = a + bX.
O valor de S, em que
é o valor médio dos 20 valores observados para X tal que S = 
Provas
Questão presente nas seguintes provas
Para responder à questão, considere o modelo linear Yi = α + βXi + ε i sendo i a i-ésima observação, Yi a variável dependente na observação i, X i a variável explicativa na observação i e εi o erro aleatório com as respectivas hipóteses para a regressão linear simples. Os parâmetros α e β são desconhecidos e suas estimativas (a e b, respectivamente) foram obtidas pelo método dos mínimos quadrados e com base em 20 pares de observações ( Xi,Yi), i = 1, 2, ... , 20. Sabe-se que os pontos (10 ; 9,8) e (40 ; 33,8) pertencem à reta de equação Y = a + bX.

O valor médio ( Y ) dos 20 valores observados para Y é igual a

O valor médio ( Y ) dos 20 valores observados para Y é igual a
Provas
Questão presente nas seguintes provas
Seja o modelo linear Yi= β Xi+ ε i estabelecendo uma relação linear, sem intercepto, entre duas variáveis X e Y, em que Y i é a variável dependente na observação i, X i é a variável explicativa na observação i e εi o erro aleatório com as respectivas hipóteses para a regressão linear simples. O parâmetro ßdo modelo é desconhecido e sua estimativa foi obtida pelo método dos mínimos quadrados com base em 10 pares de observações (Xi, Yi)

Considerando a equação da reta obtida pelo método dos mínimos quadrados, obtém-se que Y é igual a 24 quando X for igual a

Considerando a equação da reta obtida pelo método dos mínimos quadrados, obtém-se que Y é igual a 24 quando X for igual a
Provas
Questão presente nas seguintes provas
O resultado da expressão numérica

é igual a

é igual a
Provas
Questão presente nas seguintes provas
Para montar 800 caixas com produtos, uma empresa utiliza 15 funcionários que trabalham 6 horas por dia. Esse trabalho é realizado em 32 dias. Para atender um pedido de 2.000 caixas com produtos, iguais às anteriores, a empresa recrutou mais 5 funcionários, de mesma produtividade, além dos 15 funcionários já alocados para a função. O número de horas de trabalho por dia foi aumentado para 8 horas. Nessas condições, o número de dias necessários para montagem dessas 2.000 caixas é igual a
Provas
Questão presente nas seguintes provas
Para responder a questão, considere o texto abaixo.
Na literatura internacional da Ciência Política, é hoje dominante o entendimento de que democracia é um arcabouço institucional para a pacificação das lutas inerentes à conquista e ao exercício do poder, não um padrão de sociedade fundado na igualdade socioeconômica substantiva. A democracia surge historicamente em sociedades com profunda desigualdade, estratificadas, sendo muito mais causa que consequência da redução das desigualdades sociais.
De fato, certa tensão entre os conceitos institucional e substantivo da democracia existe por toda parte, mas articula-se de maneira específica no pensamento de cada país. Durante todo o século XX, a avaliação de que democracia só é “autêntica" quando estreitamente associada a avanços no plano da
igualdade foi compartilhada por correntes ideológicas diversas.
Na literatura internacional da Ciência Política, é hoje dominante o entendimento de que democracia é um arcabouço institucional para a pacificação das lutas inerentes à conquista e ao exercício do poder, não um padrão de sociedade fundado na igualdade socioeconômica substantiva. A democracia surge historicamente em sociedades com profunda desigualdade, estratificadas, sendo muito mais causa que consequência da redução das desigualdades sociais.
De fato, certa tensão entre os conceitos institucional e substantivo da democracia existe por toda parte, mas articula-se de maneira específica no pensamento de cada país. Durante todo o século XX, a avaliação de que democracia só é “autêntica" quando estreitamente associada a avanços no plano da
igualdade foi compartilhada por correntes ideológicas diversas.
Endossar o conceito analítico da democracia como um arcabouço político-institucional, a meu ver correto, não significa que o corpo de hipóteses históricas e empíricas que explica a consolidação da democracia como sistema em casos concretos possa passar ao largo das desigualdades sociais e dos obstáculos culturais delas recorrentes. Como processo histórico, a evolução da democracia representativa deve ser compreendida como resultante de dois vetores. De um lado, a formação de uma autoridade central capaz de arbitrar disputas de poder, inclusive mediante a elaboração de uma complexa aparelhagem eleitoral; de outro, o crescimento econômico, com todas as implicações para a elevação do piso de bem-estar e desconcentração das posições de privilégio, status. Num período dilatado de tempo, tal processo propicia efetiva redistribuição de renda e riqueza, facilita o surgimento econômico e político de uma classe média e torna mais provável o fortalecimento da “sociedade civil".
Desde a Segunda Grande Guerra, o principal determinante da estabilidade democrática foi o crescimento econômico. Mesmo democracias que no início pareciam débeis foram se robustecendo à medida que ascendiam a níveis mais altos de renda per capita, melhoravam seus níveis educacionais e conseguiam atender as demandas básicas da população. Mas nada assegura que a configuração de fatores relevantes para a estabilidade permanecerá a mesma até, digamos, a metade do presente século. Na América Latina, o regime democrático sabidamente convive com níveis infamantes de desigualdade social, corrupção e criminalidade, e se beneficia cada vez menos da força moderadora de valores e instituições “tradicionais". Assim, até onde a vista alcança, a estabilidade e o vigor da democracia dependerão muito do desempenho do sistema político e do aprimoramento moral da vida pública.
(Adaptado de: LAMOUNIER, Bolivar. “Democracia: origens e
presença no pensamento brasileiro. In: Agenda cultural. São
Paulo, Cia. das Letras, 2009. p. 148-150)
Desde a Segunda Grande Guerra, o principal determinante da estabilidade democrática foi o crescimento econômico. Mesmo democracias que no início pareciam débeis foram se robustecendo à medida que ascendiam a níveis mais altos de renda per capita, melhoravam seus níveis educacionais e conseguiam atender as demandas básicas da população. Mas nada assegura que a configuração de fatores relevantes para a estabilidade permanecerá a mesma até, digamos, a metade do presente século. Na América Latina, o regime democrático sabidamente convive com níveis infamantes de desigualdade social, corrupção e criminalidade, e se beneficia cada vez menos da força moderadora de valores e instituições “tradicionais". Assim, até onde a vista alcança, a estabilidade e o vigor da democracia dependerão muito do desempenho do sistema político e do aprimoramento moral da vida pública.
(Adaptado de: LAMOUNIER, Bolivar. “Democracia: origens e
presença no pensamento brasileiro. In: Agenda cultural. São
Paulo, Cia. das Letras, 2009. p. 148-150)
Provas
Questão presente nas seguintes provas
Cadernos
Caderno Container