Foram encontradas 50 questões.
Uma empresa de prestação de serviços de coleta de entulhos resolveu estudar a distribuição de quebras de seus caminhões na primeira semana do mês de julho. Foram observadas 35 quebras no total, distribuídas conforme tabela a seguir:

O diretor da empresa acreditava que a frequência de quebras era similar nos dias da semana. Selecione a alternativa correta quanto à conclusão do teste de hipóteses sobre a crença do diretor da empresa.
Dados: 
Provas
Supondo que a distribuição do pH seja a distribuição normal, obtenha os limites de controle
para os gráficos de controle
Dados: (A=1,225; A2=0,483; A3=1,287; B3=0,030, B4=1,97, B5=0,029 ; B6= 1,874)Provas
Um pesquisador suspeita que existe uma correlação entre o número de promessas que um candidato político faz e o número de promessas que são cumpridas uma vez que o candidato é eleito. Ele acompanha vários políticos proeminentes e registra as promessas feitas (X) e as promessas mantidas (Y). Utilizando os seguintes dados sumarizados, calcule o coeficiente de correlação entre as promessas feitas e as promessas mantidas e assinale a alternativa correta.
\(\sum_{i = 1}^{7} x_i = 280 \ \ \sum_{i = 1}^{7} y_i = 28 \ \ \sum_{i = 1}^{7} x_iy_i = 940 \ \ \sum_{i = 1}^{7} x^2 = 12400 \ \ \sum_{i = 1}^{7} y^2 = 140\)
Provas

Provas

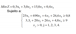
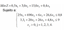
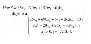
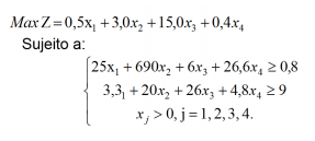
Escolha entre os seguintes modelos de programação linear o que fornecerá a solução para o problema apresentado.
Provas
Considere o sistema abaixo, em que

Tais sistemas são resolvidos por substituições retroativas. Com relação à solução do sistema em pauta, relacione as colunas e assinale a alternativa com a sequência correta.
1 . 
2 . 
3. 
4.
( ) O sistema é incompatível.
( ) O sistema é compatível e determinado.
( ) Equações para as substituições retroativas.
( ) O sistema é compatível e indeterminado.
Provas
Considere uma linha de produção em que a probabilidade de ocorrer um
defeito é p. A distribuição de probabilidade da variável aleatória X que conta os
itens até que ocorra o primeiro defeito é a distribuição geométrica, dada por:
. Suponha que uma amostra aleatória de X tenha
sido selecionada e que se deseja obter uma estimativa de máxima verossimilhança de p,
utilizando o método iterativo de Newton Raphson. Nesse caso, a equação de iteração do
método é
Provas
- AmostragemTipos de AmostragemAmostragem aleatória simples
- Estatística DescritivaMedidas de Tendência Central
O chefe do controle de qualidade de uma empresa solicita a você que selecione uma amostra
de indivíduos da população. O tamanho dessa amostra deve dar a ele 99% de certeza de que
a média amostral
esteja dentro de
Qual deve ser o tamanho dessa amostra?
Provas

Provas
Suponha que uma empresa de transporte coletivo urbano de uma cidade faz diversas
linhas em horários definidos e conhecidos pela população. Geralmente, os usuários fazem
reclamações quanto aos atrasos que ocorrem nos horários de pico. Considere duas dessas
linhas, a linha 1 e a linha 2. Definindo os eventos: A: atraso na linha 1 e B: atraso na linha
2. Os usuários já constataram que:
. Nesse caso, a
probabilidade de não haver atraso na linha 1 e nem na linha 2 nos horários de pico de um
dia da semana é, aproximadamente,
Provas
Caderno Container