Foram encontradas 1.460 questões.
Considerando-se as moléculas de ácido fluorídrico e água, e sabendo que tanto o átomo de flúor quando o de oxigênio são bastante eletronegativos, é correto afirmar, acerca das ligações existentes nessas moléculas, que
Provas
A estrutura da água é estudada há muitos anos por cientistas de diversas áreas. Atualmente, a compreensão da organização supramolecular dessa molécula é relativamente bem conhecida. As ligações intermoleculares na água são
Provas
Uma molécula com estado fundamental singleto (S) é excitada para um estado excitado também singleto (S*). Antes de relaxar para o estado fundamental, a molécula sofre uma transição para um estado excitado tripleto (T*). O esquema desse processo é: S÷S*÷T*÷S. A emissão de luz ocorre em 501 nm. Considerando o texto, assinale a opção correta acerca da molécula em apreço.
Provas
Muitos compostos apresentam propriedades de luminescência (fluorescência ou fosforescência). A respeito de um material orgânico polimérico sintetizado com propriedades fluorescentes, é correto afirmar que
Provas
O tipo de material emissor utilizado em sistemas orgânicos emissores de luz determina tanto as propriedades emissivas como a qualidade do OLED. O material orgânico constituinte de um OLED pode ser
Provas
Considerando o estado fundamental da molécula de oxigênio (O2) que se encontra no ar que respiramos, pode-se dizer que este estado é
Provas
Considerando a redução catódica e a oxidação anódica dos materiais para sistemas OLEDs, assinale a opção correta quanto ao material a ser utilizado no processo eletroquímico de oxidação no ânodo e de redução no cátodo, respectivamente.
Provas

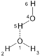
Acerca das ligações da água demonstradas na figura acima, assinale a opção correta.
Provas
A equação de Schrödinger para um partícula na caixa apresenta, em teoria,
Provas
Considerando um sistema OLED comercial, as características desejáveis para aplicação de sistemas fotoluminescentes orgânicos moleculares (ou poliméricos) em sistemas óptico-eletrônicos comerciais são:
Provas
Caderno Container