Magna Concursos

Foram encontradas 3.478 questões.

2882293 Ano: 2010
Disciplina: TI - Desenvolvimento de Sistemas
Banca: CESGRANRIO
Orgão: Petrobrás

O desenvolvimento de um sistema web que usa a arquitetura 3 camadas reduz a complexidade e o esforço para o desenvolvimento da aplicação.

PORQUE

A arquitetura 3 camadas fica mais flexível, possibilitando que as partes possam ser internamente alteradas independente das outras, bastando manter a mesma interface.

Analisando as afirmações acima, conclui-se que

 

Provas

Questão presente nas seguintes provas
2882292 Ano: 2010
Disciplina: TI - Desenvolvimento de Sistemas
Banca: CESGRANRIO
Orgão: Petrobrás

Enunciado 3089082-1

Analisando o diagrama acima, com base nos fundamentos de construção de diagrama de classes UML, conclui-se que

 

Provas

Questão presente nas seguintes provas
2882291 Ano: 2010
Disciplina: TI - Desenvolvimento de Sistemas
Banca: CESGRANRIO
Orgão: Petrobrás

A Arquitetura de Software trata dos princípios estruturais do software e de como seus elementos serão dispostos visando ao melhor funcionamento no manuseio da informação. Existem vários modelos de arquitetura de software, cada um deles com diversas características topológicas. A característica topológica que pertence à Arquitetura Orientada a Serviços (SOA) é

 

Provas

Questão presente nas seguintes provas
2882290 Ano: 2010
Disciplina: TI - Desenvolvimento de Sistemas
Banca: CESGRANRIO
Orgão: Petrobrás

O grande objetivo do projeto de casos de teste do software é produzir um conjunto de testes que tenha a maior probabilidade de descobrir erros no software. Dentre as várias técnicas existentes, a pertencente à categoria teste caixabranca é o(a)

 

Provas

Questão presente nas seguintes provas
2882289 Ano: 2010
Disciplina: TI - Desenvolvimento de Sistemas
Banca: CESGRANRIO
Orgão: Petrobrás

Existem vários Modelos de Ciclo de Vida do Processo de Software. O desenvolvimento em espiral é um modelo

 

Provas

Questão presente nas seguintes provas
2882288 Ano: 2010
Disciplina: TI - Desenvolvimento de Sistemas
Banca: CESGRANRIO
Orgão: Petrobrás

Os diagramas comportamentais da UML são basicamente organizados a partir das principais formas existentes para se fazer a modelagem dinâmica de um sistema.

Relacione os diagramas da UML da coluna da esquerda com a respectiva descrição da coluna da direita.

I – Diagrama de caso de uso

II – Diagrama de sequência

III – Diagrama de comunicação

IV – Diagrama de atividades

P – Enfatiza o estado de mudança de um sistema orientado por eventos.

Q – Organiza os comportamentos de um sistema.

R – Enfatiza a ordem temporal das mensagens.

S – Enfatiza a organização estrutural de objetos que enviam e recebem mensagens.

T – Enfatiza o fluxo de controle de uma atividade para outra.

A relação correta é:

 

Provas

Questão presente nas seguintes provas
2882287 Ano: 2010
Disciplina: TI - Desenvolvimento de Sistemas
Banca: CESGRANRIO
Orgão: Petrobrás

No Ciclo de Vida Clássico, também chamado de Modelo Sequencial Linear ou Modelo Cascata, é apresentada uma abordagem sistemática composta pelas seguintes atividades:

 

Provas

Questão presente nas seguintes provas
2882286 Ano: 2010
Disciplina: TI - Desenvolvimento de Sistemas
Banca: CESGRANRIO
Orgão: Petrobrás

Na Engenharia de Requisitos existe um mecanismo apropriado para entender o que o cliente deseja, analisar as suas necessidades, avaliar a possibilidade de execução do que foi pedido, negociar uma solução razoável, especificar a solução evitando ambiguidade, validar a especificação e administrar os requisitos. Durante a execução da etapa de Elicitação de Requisitos alguns problemas podem ocorrer.

Relacione os problemas apresentados na coluna da esquerda com a respectiva definição, indicada na coluna da direita.

I – Problemas de escopo

II – Problemas de entendimento

III – Problemas de volatilidade

P – Os clientes/usuários omitem informações que acreditam que sejam óbvias, têm dúvidas quanto ao que é necessário e possuem dificuldade de transmitir as suas necessidades ao engenheiro de sistemas.

Q Os requisitos podem ser modificados ao longo do tempo.

R – As fronteiras do sistema são mal definidas ou os clientes/usuários apresentam especificações com detalhes técnicos desnecessários que podem confundir os objetivos globais do sistema.

S – Parte dos requisitos funcionais do sistema não influencia na especificação dos requisitos não funcionais.

A relação correta é:

 

Provas

Questão presente nas seguintes provas
2882285 Ano: 2010
Disciplina: TI - Desenvolvimento de Sistemas
Banca: CESGRANRIO
Orgão: Petrobrás

A figura a seguir mostra uma série de interfaces web que demonstram a aplicação de um padrão de transição de interfaces denominado Brighten and Dim (Iluminar e Escurecer), muito usado em sites que possuem múltiplos passos, requerem a interação do usuário com múltiplos componentes e/ou possuem longo tempo de carregamento.

Enunciado 3089068-1

Adaptado de SCOTT, B.; NEIL, T., Designing Web Interfaces. O’Reilly Media Inc.,

EUA, 2009, pp. 218 a 220.

Entre as consequências positivas e/ou negativas do uso deste padrão NÃO se pode incluir a(o)

 

Provas

Questão presente nas seguintes provas
2882284 Ano: 2010
Disciplina: TI - Desenvolvimento de Sistemas
Banca: CESGRANRIO
Orgão: Petrobrás

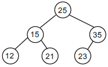
Seja a árvore AVL cujo estado atual é dado por

Enunciado 3089067-1

Ao inserir o nó de chave igual a 12, o resultado final será

 

Provas

Questão presente nas seguintes provas