Foram encontradas 3.478 questões.
- Fundamentos de ProgramaçãoAnálise Assintótica (Notação Big-O)
- Fundamentos de ProgramaçãoEstruturas de DadosEstrutura de Dados: Vetor
Considere um vetor que contém uma lista ordenada de n dados. Pressupondo que ainda haja espaço no vetor para um novo elemento, o custo para inserir este novo elemento neste vetor sem afetar a ordenação é:
Provas
Uma estrutura analítica de projeto (EAP) é uma ferramenta fundamental de análise das atividades a serem realizadas no decorrer de um projeto. A respeito de uma EAP, considere as figuras abaixo.

Pode(m) representar uma estrutura analítica de projeto APENAS a(s) figura(s)
Provas

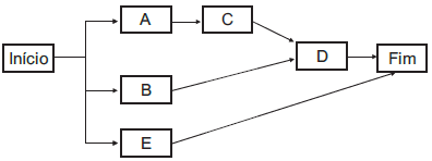
Analisando o diagrama de precedência mostrado na figura acima, constata-se que uma característica das atividades do projeto nele representado é que
Provas
A determinação de requisitos é uma fase relevante no processo de desenvolvimento de sistemas, na qual se determina o que um software efetivamente realizará. Nessa perspectiva, a fase de análise de requisitos tem como característica o fato de os
Provas
A fase de testes é muito importante para a determinação da correção de um sistema, tanto em termos da satisfação do usuário quanto do correto funcionamento do sistema. Neste sentido, uma característica dessa fase consiste no fato de que a utilização de testes
Provas
Para realizar um projeto de software, um analista entrevistou um cliente. Com base na entrevista, ele escreveu uma especificação funcional que foi passada à equipe de programadores. Esta implementou todos os itens descritos pelo analista de forma completa e correta e enviou o sistema resultante para o departamento de testes. Depois de um completo ciclo de testes e de uma grande interação com a equipe de desenvolvimento, verificou-se a inexistência de bugs que pudessem influenciar o resultado do sistema. O sistema foi, então, enviado ao cliente que afirmou não estar o mesmo satisfazendo as suas necessidades fundamentais nem resolvendo o problema que motivou o seu desenvolvimento. Qual das providências abaixo contribuiria efetivamente para evitar a instatisfação do cliente?
Provas
Uma lista ordenada pode ser usada como um mecanismo de ordenação. Suponha que haja um vetor de itens de dados não ordenados.
Se os itens do vetor forem removidos e inseridos em uma lista ordenada, eles serão colocados em ordem classificada automaticamente. Se, então, forem removidos da lista e colocados de volta no vetor, o vetor estará ordenado.
A listagem abaixo apresenta a implementação de uma lista ordenada que pode ser utilizada para ordenar vetores. Considere a existência de uma parte do código, ainda não implementada, que está delimitada por comentários.
class linkElement {
public int number;
public linkElement next;
public linkElement (int number)
{ this.number = number;}
}
class SortedList {
private linkElement first;
public SortedList()
{ first = null; }
public SortedList(linkElement[] arr)
{
first = null;
for (int j = 0; j < arr.length; j++)
insert(arr[j]);
}
public void insert(linkElement lE)
{
linkElement previous = null;
linkElement current = first;
while (current != null && lE.number > current.number)
{
previous = current;
current = current.next;
}
//Inserir código não implementado.
}
public linkElement remove()
{
linkElement aux = first;
first = first.next;
return aux;
}
}
public class ListApp {
public static void main(String[] args)
{
int size = 10;
linkElement[] arr = new linkElement[size];
System.out.println("Vetor utilizado para testar o algoritmo");
arr[0] = new linkElement(5); arr[1] = new linkElement(2);
arr[2] = new linkElement(3); arr[3] = new linkElement(1);
arr[4] = new linkElement(6); arr[5] = new linkElement(4);
arr[6] = new linkElement(10); arr[7] = new linkElement(9);
arr[8] = new linkElement(8); arr[9] = new linkElement(7);
System.out.println("Vetor não ordenado:");
for(int j = 0; j < size; j++)
System.out.print(arr[j].number + " ");
System.out.println("");
SortedList sL = new SortedList(arr);
for(int j = 0; j < size; j++)
arr[j] = sL.remove();
System.out.println("Vetor ordenado:");
for(int j = 0; j < size; j++)
System.out.print(arr[j].number + " ");
}
}
Para que o código acima implemente corretamente o algoritmo como descrito no local determinado pelo comentário, deve ser incluído:
Provas
public class testApp {
public static void main(String[] args)
{
int[] arrayA = {23, 47, 81, 95};
int[] arrayB = {7, 14, 39, 55, 62, 74};
int[] arrayC = new int[10];
Merge(arrayA, 4, arrayB, 6, arrayC);
Display(arrayC, arrayC.length);
}
public static void Merge(int[] arrayA, int sizeA, int[] arrayB, int sizeB, int[] arrayC)
{
int aDex = 0, bDex = 0, cDex = 0;
while (aDex < sizeA && bDex < sizeB)
if (arrayA[aDex] <> arrayB[bDex])
arrayC[cDex++] = arrayA[aDex++];
else
arrayC[cDex++] = arrayB[bDex++];
while (aDex < sizeA)
arrayC[cDex++] = arrayA[aDex++];
while (bDex < sizeB)
arrayC[cDex++] = arrayB[bDex++];
}
public static void Display(int[] theArray, int size)
{
for (int j = 0; j < size; j++)
System.out.println(theArray[j] + " ");
System.out.println(" ");
}
}
O código acima (testApp.java) está sendo construído por um analista. Entrentanto, ele apresenta um erro que é acusado durante o processo de compilação. Qual é a linha que contém este erro?
Provas

Considerando o diagrama de classes e as características da linguagem Java é INCORRETO afirmar que
Provas
Considere a seguinte classe:
public class Produto implements java.io.Serializable {
private String nome;
private String cor;
public Produto() {
}
public Produto(String nome, String cor) {
this.nome = nome;
this.cor = cor;
}
public String getCor() {
return this.cor;
}
public void setCor(String cor) {
this.cor = cor;
}
public String getNome() {
return this.nome;
}
public void setNome(String nome) {
this.nome = nome;
}
}
O código acima apresenta um(a)
Provas
Caderno Container