Foram encontradas 2.327 questões.

Considerando-se o circuito com um diodo ideal, mostrado na Figura 1, e o sinal de entrada vi, mostrado na Figura 2, a forma de onda do sinal de saída vo é
Provas
Questão presente nas seguintes provas

A curva de Lissajous da figura acima aparece na tela de um osciloscópio que opera em modo X-Y e em cujas entradas 1 e 2 são aplicados sinais senoidais de mesma frequência. Esses sinais são representados, respectivamente, por !$ V_1 sin(ωt) !$ e !$ V_2 sin (ωt+ Delta θ) !$. Considerando-se os dados da figura, a relação entre os valores de pico V1 e V2, é
Provas
Questão presente nas seguintes provas
Observe as figuras abaixo.

A Figura 1 mostra um circuito que utiliza um fototransistor de área sensível igual a 20 mm2. A Figura 2 mostra a curva da corrente de base em função da densidade de fluxo irradiado desse fototransistor, aproximada por uma reta. Se o fototransistor for irradiado com 2 mW de potência, sua tensão VCE, em Volts, será igual a
Provas
Questão presente nas seguintes provas

O circuito da figura acima usa amplificadores operacionais, considerados ideais. Com base nos elementos do circuito, o valor da resistência do potenciômetro RP, para que a tensão de saída vo seja nula, é
Provas
Questão presente nas seguintes provas

O estágio de ganho do amplificador, mostrado na figura acima, utiliza uma fonte de tensão controlada. Com base no circuito, considere as afirmativas a seguir.
I - Para que o ganho de tensão vo/vg seja, aproximadamente, igual ao ganho A fornecido pelo estágio de ganho, as resistências Ri e Ro devem ser muito maiores do que Rg e RL, respectivamente.
II - Sendo Pg a potência fornecida pela fonte, Po a potência entregue à carga, e i1 e i2 correntes, Po/Pg = (vo/vg) (i2/i1).
III - Uma vez que o estágio de ganho tenha como elemento base um transistor bipolar de junção, as suas capacitâncias internas limitam o ganho em baixas frequências.
Está correto APENAS o que se afirma em
Provas
Questão presente nas seguintes provas

O diodo zener mostrado no circuito da figura acima, é considerado ideal e tem tensão nominal de 16 V. Com base nos valores dos elementos do circuito, qual o valor, em ampères, da corrente I sobre o diodo zener?
Provas
Questão presente nas seguintes provas

A figura acima mostra a tela de um osciloscópio, cujas escalas são 5 volt/div na vertical e 10 μs/div na horizontal. Na tela, observam-se dois sinais senoidais de mesma frequência e mesma amplitude, mas defasados no tempo. Verifica-se, com base nas curvas e nos dados do osciloscópio, que a curva tracejada, em relação à curva contínua, está
Provas
Questão presente nas seguintes provas
Quanto à utilização do multímetro analógico de bobina móvel para a medição de tensões e correntes, ao operar como
Provas
Questão presente nas seguintes provas

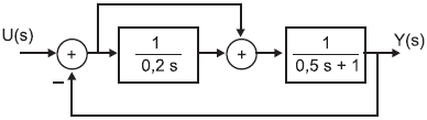
O diagrama em blocos da figura acima mostra um sistema linear com entrada U(s) e saída Y(s). Com base nos dados do diagrama, os polos desse sistema em malha fechada são
Provas
Questão presente nas seguintes provas

O gráfico da figura acima corresponde à resposta ao degrau unitário de um sistema de 2ª ordem, cuja função de transferência é !$ G(s)=large{16 over s^2+as+b} !$. Com base nos dados da figura, o valor da Frequência Natural Não Amortecida é
Provas
Questão presente nas seguintes provas
Cadernos
Caderno Container